3044永利集团

English
沪工阀门新闻中心

3044永利集团 | 2019-06-27

上海沪工阀门厂党支部被授予嘉定区示范型党支部建设标兵奖牌

近日,中共3044永利集团支部委员会被授予嘉定区“示范型党支部建设标兵”称号!

中共上海市嘉定区组织部关于命名嘉定区示范型党支部建设标兵决定文件(1)

中共上海市嘉定区组织部关于命名嘉定区示范型党支部建设标兵决定文件(2)

中共上海市嘉定区组织部关于命名嘉定区示范型党支部建设标兵决定文件(3)

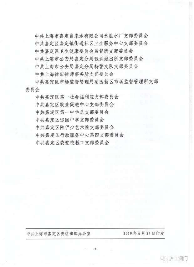
中共上海市嘉定区组织部关于命名嘉定区示范型党支部建设标兵决定文件(4)


本文地址:/news/company/201907111295.html


下一篇:关爱职工关注健康——公司组织职工健康体检
上一篇:上海沪工阀门厂 2019 年第八届上海国际泵管阀展圆满结束


总机:021-39901000 39900333 | 传真:021-39901228 | 销售:021-66059666 | Email:[email protected]

3044永利集团 - 厂址:上海市嘉定区华亭工业区华高路 555 号沪工阀门工业区

Copyright © 2012 3044永利集团,版权所有。沪ICP备11023561号-1

沪工阀门微信公众号二维码
沪工阀门手机站二维码